大连交通大学塑性顶刊:低温深冷处理激光增材制造高熵合金拉伸性能和各向异性的优化
时间:2024-07-13 13:21 来源: 材料学网 作者:admin 阅读:次
导读:激光金属沉积(LMD)加工的CrMnFeCoNi高熵合金(HEA)的重复深冷浸泡处理(DCT)在不影响延展性的情况下显著提高了其强度。这归因于压缩应力诱导的纳米孪晶形成,这反过来又促进了孪晶诱导的塑性。本文对沿构建和扫描方向的残余应力分布和DCT循环对HEA拉伸性能的影响进行了参数化研究。为此,用5种不同的激光功率 (1100,1400,1700,2000和2300w)制造的构件进行了测试,并考虑了残余应力梯度最高和最低的构件进行进一步的DCT处理。结果表明,当激光功率为1400
W时,初始残余应力梯度最大,随着DCT处理次数的增加,位错和孪晶密度的增强幅度更大。这些观察结果是基于位错和孪晶在DCT过程中的演化和分布以及在不同方向变形时构建的变形进行合理化的。讨论了这些结果在采用DCT加强LMD制造的HEA组件的背景下的含义。
等原子CrMnFeCoNi合金,也被称为Cantor合金,是一种单相面心立方高熵合金(HEA),由于其在77 K时优异的结构稳定性和机械性能,具有用于低温结构应用的潜力。然而在室温下,CrMnFeCoNi的屈服强度仅为~215 MPa,但它的应变硬化显著,极限抗拉强度为~500 MPa。一些提高HEA屈服强度的尝试取得了适度的成功,因为其强度的增加伴随着延性的急剧下降。
为了避免这种合金的强度-延性平衡,已经设想了促进位错增殖和阻碍其运动的微观结构剪裁。其中一些定制策略包括在固溶体基质中分散纳米沉淀物,晶粒细化,纳米孪晶的原位成核和通过预变形处理构建异质结构。在这些方法中,在HEA中原位成核纳米孪晶被认为是最有效的策略,因为原位成核纳米孪晶的相干边界不会在变形过程中在材料中产生应变不均匀性。相比之下,在其他裁剪策略中形成的非相干晶界和相界具有相对较低的热稳定性和机械稳定性。原位成核纳米孪晶作为位错滑移的有效屏障,并在塑性变形过程中触发进一步的孪晶,从而显著增强HEA而不影响其延展性。此外,孪晶的形核还会使晶体局部重新定向,促进更强烈的位错相互作用,从而促进均匀变形,防止应变局部化。
为了解决上述所有问题,大连交通大学吕云卓教授团队研究了LMD制备的CrMnFeCoNi在制备和DCT处理条件下的微观组织演变和力学行为。用不同的激光功率制造构件,并测量产生的残余应力分布。然后,研究了DCT循环对残余应力分布和缺陷密度的影响。此外,通过执行拉伸测试,在构建和DCT处理条件下,沿着构建和扫描方向(BD和SD)评估构建的机械性能。结果表明,在中等激光功率为1400 W的情况下,在DCT处理后,可以获得最佳的残余应力分布,在不损失延性的情况下,可以提供最大的强度增强。此外,HEA的强度,无论在哪个方向测量,在12次DCT循环后饱和到最大值。此外,沿SD的强度和延展性比沿BD的高。这些结果是基于观察到的缺陷密度随应变的变化而合理的。最后,详细讨论了导致材料力学性能各向异性以及强度和延性同时提高的潜在机制。
相关研究成果以“Optimization of tensile properties and anisotropy in a cryogenically treated laser additively manufactured high entropy alloy ”发表在International Journal of Plasticity上
链接:
https://www.sciencedirect.com/sc ... 24001426?via%3Dihub
LMD过程的示意图如图1(A)所示。建筑在尺寸为60 × 60 × 30 mm3的AISI 1045基板上制造。在进行LMD之前,将基材研磨并在乙醇中进行超声波清洗。构建的激光功率为1100,1400,1700,2000和2300w。激光光斑尺寸为~3 mm,进给速度为~12 g/min,扫描速度为~600 mm/min。此外,舱口重叠和层厚分别为30%和0.5 mm。这些参数是在先前的研究中确定的,并且被认为适用于获得无缺陷,低孔隙率(密度> 99%)的合金构建。最后,为了最大限度地减少氧气吸收,在LMD期间要清除氩气。使用氧气分析仪进行的测量证实,建筑中的氧气浓度低于10ppm。
(e) 2300 W的CrMnFeCoNi HEAs在BD × SD平面上的残余应力图及其(f)沿构建高度的平均残余应力分布图。
(e) 1400W- dct20各建筑的残余应力分布图及其(f)平均残余应力随建筑高度的变化曲线。
(e) 2300W- dct15各建筑的残余应力分布图及其(f)平均残余应力随建筑高度的变化曲线。
(d)-(f) 1400W- dct4, (g)-(i) 1400W- dct10, (j)-(l) 1400W- dct15。
这些图像是从构建的底部,中间和顶部部分获得的,它们分别位于距离基板1,5和9mm的高度,沿着SD-TD平面的BD。在建造状态下,在建造的所有三个位置,微观结构都由面心立方(FCC)柱状晶粒组成,其长轴平行于BD,这些晶粒在建造的底部,中部和顶部的平均长度分别为139±9µm, 135±7µm和130±11µm。柱状晶粒长径比分别为1.93、1.66和1.24。
原生和次生纳米孪晶用黄色和蓝色箭头分别标记为NT1和NT2。
插图包含沿[011]区域轴的相应亮场图像的SAED图案。
纳米孪晶用黄色箭头标记。插图包含沿[011]区域轴的相应亮场图像的SAED图案。
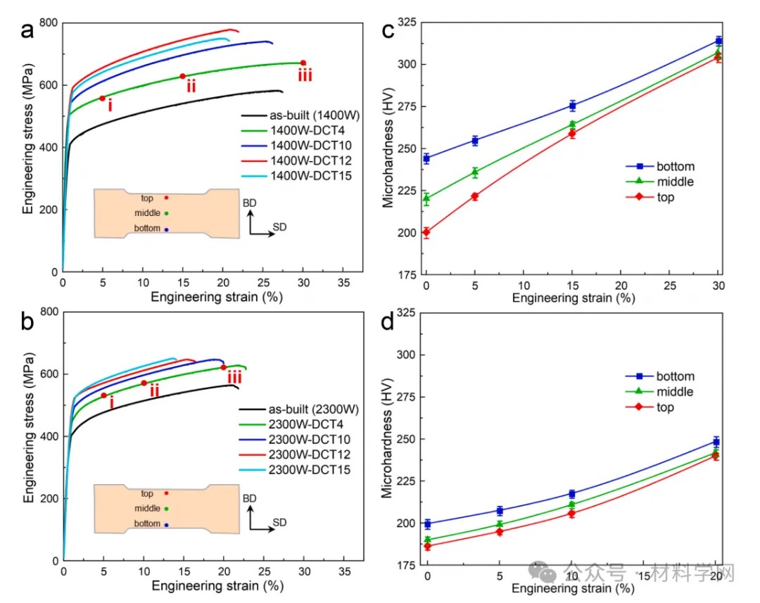
(c) 1400W-DCT4和(d) 2300W-DCT4顶部、中部和底部的显微硬度变化是应变的函数。
纳米孪晶用黄色箭头标记。(b)、(c)、(e)、(f)、(h)和(i)中的插页是沿[011]区域轴对应的SAED模式。
(c) 1400W-DCT4预制时,构件顶部、中部和底部的显微硬度随应变的变化。
(e)从沿BD加载的1400W-DCT4构建中提取的拉伸测试试样的低倍和高倍SEM断口图。
在激光功率为(c) 1400 W和(d) 2300 W的情况下,合金沿构建高度的平均残余应力分布和临界应力σT。
本研究采用5种不同的激光功率沿构建和扫描方向制备了构建,探究深冷处理对LMD加工的CrMnFeCoNi HEA力学性能的影响,并绘制了构建中的残余应力分布图。主要成果如下:
(1)当激光功率为1400 W和2300 W时,构件的残余应力分布梯度最大、最浅。
(2)随着DCT循环次数的增加,在构建上的压应力叠加将两个构建的残余应力剖面转移到更多的压应力上。同时,底部和中间部分的脱位密度显著增加,但顶部的强化程度明显较低。
(3)在力学性能上存在明显的各向异性,因此在两种建筑中,沿SD的强度和延展性明显高于沿BD的强度和延性。
(4)尽管DCT沿SD的最大强度比底部的强度低15%,但它仍然是一种极好的无损技术,可以在不牺牲延性的情况下提高强度。这种方法也可以应用于具有低层错能的合金。
等原子CrMnFeCoNi合金,也被称为Cantor合金,是一种单相面心立方高熵合金(HEA),由于其在77 K时优异的结构稳定性和机械性能,具有用于低温结构应用的潜力。然而在室温下,CrMnFeCoNi的屈服强度仅为~215 MPa,但它的应变硬化显著,极限抗拉强度为~500 MPa。一些提高HEA屈服强度的尝试取得了适度的成功,因为其强度的增加伴随着延性的急剧下降。
为了避免这种合金的强度-延性平衡,已经设想了促进位错增殖和阻碍其运动的微观结构剪裁。其中一些定制策略包括在固溶体基质中分散纳米沉淀物,晶粒细化,纳米孪晶的原位成核和通过预变形处理构建异质结构。在这些方法中,在HEA中原位成核纳米孪晶被认为是最有效的策略,因为原位成核纳米孪晶的相干边界不会在变形过程中在材料中产生应变不均匀性。相比之下,在其他裁剪策略中形成的非相干晶界和相界具有相对较低的热稳定性和机械稳定性。原位成核纳米孪晶作为位错滑移的有效屏障,并在塑性变形过程中触发进一步的孪晶,从而显著增强HEA而不影响其延展性。此外,孪晶的形核还会使晶体局部重新定向,促进更强烈的位错相互作用,从而促进均匀变形,防止应变局部化。
为了解决上述所有问题,大连交通大学吕云卓教授团队研究了LMD制备的CrMnFeCoNi在制备和DCT处理条件下的微观组织演变和力学行为。用不同的激光功率制造构件,并测量产生的残余应力分布。然后,研究了DCT循环对残余应力分布和缺陷密度的影响。此外,通过执行拉伸测试,在构建和DCT处理条件下,沿着构建和扫描方向(BD和SD)评估构建的机械性能。结果表明,在中等激光功率为1400 W的情况下,在DCT处理后,可以获得最佳的残余应力分布,在不损失延性的情况下,可以提供最大的强度增强。此外,HEA的强度,无论在哪个方向测量,在12次DCT循环后饱和到最大值。此外,沿SD的强度和延展性比沿BD的高。这些结果是基于观察到的缺陷密度随应变的变化而合理的。最后,详细讨论了导致材料力学性能各向异性以及强度和延性同时提高的潜在机制。
相关研究成果以“Optimization of tensile properties and anisotropy in a cryogenically treated laser additively manufactured high entropy alloy ”发表在International Journal of Plasticity上
链接:
https://www.sciencedirect.com/sc ... 24001426?via%3Dihub
图1(A) LMD (b) DCT处理过程(c)拉伸试样的取向示意图。
LMD过程的示意图如图1(A)所示。建筑在尺寸为60 × 60 × 30 mm3的AISI 1045基板上制造。在进行LMD之前,将基材研磨并在乙醇中进行超声波清洗。构建的激光功率为1100,1400,1700,2000和2300w。激光光斑尺寸为~3 mm,进给速度为~12 g/min,扫描速度为~600 mm/min。此外,舱口重叠和层厚分别为30%和0.5 mm。这些参数是在先前的研究中确定的,并且被认为适用于获得无缺陷,低孔隙率(密度> 99%)的合金构建。最后,为了最大限度地减少氧气吸收,在LMD期间要清除氩气。使用氧气分析仪进行的测量证实,建筑中的氧气浓度低于10ppm。
图2激光功率为(a) 1100 W, (b) 1400 W, (c) 1700 W, (d) 2000 W,
(e) 2300 W的CrMnFeCoNi HEAs在BD × SD平面上的残余应力图及其(f)沿构建高度的平均残余应力分布图。
图3(a)已建(1400W)、(b) 1400W- dct4、(c) 1400W- dct10、(d) 1400W- dct12、
(e) 1400W- dct20各建筑的残余应力分布图及其(f)平均残余应力随建筑高度的变化曲线。
图4(a)已建建筑(2300W)、(b) 2300W- dct4、(c) 2300W- dct10、(d) 2300W- dct12、
(e) 2300W- dct15各建筑的残余应力分布图及其(f)平均残余应力随建筑高度的变化曲线。
图5 LMD底部、中部和顶部的代表性微结构(在SD × TD平面上)(a)-(c)建造(1400W),
(d)-(f) 1400W- dct4, (g)-(i) 1400W- dct10, (j)-(l) 1400W- dct15。
这些图像是从构建的底部,中间和顶部部分获得的,它们分别位于距离基板1,5和9mm的高度,沿着SD-TD平面的BD。在建造状态下,在建造的所有三个位置,微观结构都由面心立方(FCC)柱状晶粒组成,其长轴平行于BD,这些晶粒在建造的底部,中部和顶部的平均长度分别为139±9µm, 135±7µm和130±11µm。柱状晶粒长径比分别为1.93、1.66和1.24。
图6 LMD底部、中部和顶部区域的亮场TEM图像(a)-(c)构建(1400W), (d)-(f) 1400W- dct4, (g)-(i) 1400W- dct10, (j)-(l) 1400W- dct15构建。
原生和次生纳米孪晶用黄色和蓝色箭头分别标记为NT1和NT2。
插图包含沿[011]区域轴的相应亮场图像的SAED图案。
图7 LMD底部、中部和顶部区域的亮场TEM图像(a)-(c)构建(2300W), (d)-(f) 2300W- dct4, (g)-(i) 2300W- dct10, (j)-(l) 2300W- dct15构建。
纳米孪晶用黄色箭头标记。插图包含沿[011]区域轴的相应亮场图像的SAED图案。
图8在激光功率为(a)-(b) 1400w和(c)-(d) 2300w的情况下,位错密度和孪晶分数沿构建高度的变化。
图9用激光功率分别为(a) 1400 W和(b) 2300 W,沿SD方向进行拉伸测试,在建成和DCT处理后,加载轴向SD方向的试件室温拉伸应力-应变响应。插图说明了拉伸试样内的顶部、中间和底部部分。
(c) 1400W-DCT4和(d) 2300W-DCT4顶部、中部和底部的显微硬度变化是应变的函数。
表1随加载轴//至SD,成品和DCT的拉伸性能总结。
图10 1400W-DCT4构建的底部、中部和顶部的亮场TEM图像沿着SD进行拉伸测试,应变为(a)-(c) 0%, (d)-(f) 15%, (g)-(i) 30%。
纳米孪晶用黄色箭头标记。(b)、(c)、(e)、(f)、(h)和(i)中的插页是沿[011]区域轴对应的SAED模式。
图11(a) 1400w和(b) 2300w的激光功率下,预制试样和DCT处理试样的室温拉伸应力-应变响应。
(c) 1400W-DCT4预制时,构件顶部、中部和底部的显微硬度随应变的变化。
表2加载轴为//至BD的成品和DCT的拉伸性能总结。
图12在1400 W的激光功率下,在(a)-(c) 0%和(d)-(f) 15%的应变下,沿着BD进行拉伸测试,并在底部、中部和顶部的亮场TEM图像。纳米孪晶用黄色箭头标记。(b)、(c)、(e)和(f)中的插图是沿[011]区域轴的相应SAED图案。
图13(a)从沿SD加载的1400W-DCT4构建中提取的拉伸测试试样的低倍率SEM断口图,以及(b)顶部,(c)中部和(d)底部的更高倍率图像。
(e)从沿BD加载的1400W-DCT4构建中提取的拉伸测试试样的低倍和高倍SEM断口图。
图14在激光功率为(a) 1400w和(b) 2300w的情况下,合金沿构建高度的平均残余应力分布图和位错产生的临界应力σD。
在激光功率为(c) 1400 W和(d) 2300 W的情况下,合金沿构建高度的平均残余应力分布和临界应力σT。
图15梯度结构内部的异步变形过程示意图。(a)加载轴向SD方向。(b)向BD方向的加载轴。位错用红色符号⊥表示,纳米孪晶用斜线表示。
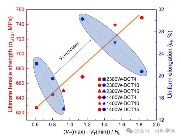
图16 UTS和εf沿SD的变化随孪晶体积分数沿BD的梯度的函数。
本研究采用5种不同的激光功率沿构建和扫描方向制备了构建,探究深冷处理对LMD加工的CrMnFeCoNi HEA力学性能的影响,并绘制了构建中的残余应力分布图。主要成果如下:
(1)当激光功率为1400 W和2300 W时,构件的残余应力分布梯度最大、最浅。
(2)随着DCT循环次数的增加,在构建上的压应力叠加将两个构建的残余应力剖面转移到更多的压应力上。同时,底部和中间部分的脱位密度显著增加,但顶部的强化程度明显较低。
(3)在力学性能上存在明显的各向异性,因此在两种建筑中,沿SD的强度和延展性明显高于沿BD的强度和延性。
(4)尽管DCT沿SD的最大强度比底部的强度低15%,但它仍然是一种极好的无损技术,可以在不牺牲延性的情况下提高强度。这种方法也可以应用于具有低层错能的合金。
(责任编辑:admin)
最新内容
热点内容


Himed评估不同喷砂磨料在3
粉末粒径可以控制增材制造
Divergent公司以3D打印技
浙大口腔医学院:生物3D打
新型类器官样神经血管球促
推动粘结剂喷射(铸造/金
选区激光熔化增材
大型聚合物3D打印
6K Additive最新
如何打造增材制造
从实验室走向生产
3D打印在口腔修复
