FAMU-FSU工程学院化学与生物医学工程系教授团队,采用挤出式生物打印技术,发表人工细菌
时间:2025-09-29 08:50 来源:南极熊 作者:admin 阅读:次
3D 3D2DFAMU-FSUSubramanian RamakrishnanJamel Ali”,发表在 。结果表明,水凝胶表现出剪切稀化行为,并且细菌浓度增加到对水凝胶前驱体模量和低剪切粘度没有显着影响。然而,将细菌浓度提高到显着降低水凝胶剪切粘度和模量。利用基于挤出的生物打印,最佳打印参数在天的孵育期内对细菌活力的影响最小。此外,随着时间的推移,较低浓度的细菌比细胞浓度较高的水凝胶形成更大的聚集体。总之,生物膜生长取决于初始细菌密度和基质刚性影响。进一步开发物理化学调整的生物打印细菌群落将有助于了解其环境中的细菌相互作用,并为构建包含生物膜的体外组织模型用于高通量药物筛选提供技术支撑。
一、背景介绍
传统生物膜研究多在琼脂等平面基底上进行,揭示了基底刚度等因素对形态的影响。然而,这些模型无法模拟慢性感染中常见的、嵌入3D环境(如软组织)的生物膜特性及其增强的耐药性。早期将细菌封装在3D水凝胶(如海藻酸盐)中的研究显示出更高的生理相关性,但仍受限于营养/氧气梯度问题。
二、材料和方法


3.2 封装细菌浓度的影响
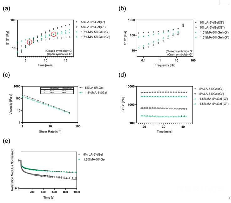
将不同浓度(1×105至1×1010CFU/mL)的鼠伤寒沙门氏菌封装入两种藻酸盐-明胶水凝胶前体(5%LA-5%Gel和1.5%MA-5%Gel)中,并在25°C下评估细菌负载量对其粘弹性的影响。结果表明(图3),细菌浓度≤1×107CFU/mL时,对两种水凝胶的模量(G'和G'')均无显著影响。然而,浓度达到1×1010CFU/mL时,两种水凝胶的模量均显著下降。该极高浓度下的细菌浓缩物本身(S. Paste)表现出类似弹性固体的行为,其模量远高于纯水凝胶,表明其显著改变了水凝胶的微观结构。细菌浓度较低时,水凝胶的剪切稀化行为保持不变。但在高浓度(1×1010CFU/mL)下,剪切稀化效应增强。纯细菌浓缩物的流变行为则与纯水凝胶相似,均表现出剪切稀化特性。


图3. 包埋不同浓度鼠伤寒沙门氏菌的水凝胶前驱体流变特性。
3.4 细菌浓度对存活率与生物膜形成的影响
封装于两种水凝胶(5%LA-5%Gel和1.5%MA-5%Gel)中的鼠伤寒沙门氏菌在4天培养期内均表现出高存活率(>80%),且两者间无显著差异(图5c,d)。菌落大小受初始细菌浓度和水凝胶刚度共同影响,低初始浓度(1×105CFU/mL)形成的微菌落显著大于高浓度(1×107CFU/mL),例如在5%LA-5%Gel中,低浓度菌落第4天平均面积(30,339 μm2)比高浓度菌落大了约4个数量级(图6c)。同时,较硬的5%LA-5%Gel(模量~4.7kPa)中的平均菌落面积也大于较软的1.5%MA-5%Gel(模量~2.7kPa),但低浓度导致更大菌落的趋势在两种凝胶中均一致(图6c)。菌落形态(圆度)主要受初始浓度影响,高浓度(1×107CFU/mL)的聚集体在前3天表现出更高的圆度值(更接近圆形)(图6f,g)。菌落发展过程表现为,培养初期(第0天)为分散单细胞(图7),4天后发育成大型密集菌落。值得注意的是,微菌落更大的5%LA-5%Gel水凝胶降解更快,导致其打印结构在4天内解体,而1.5%MA-5%Gel结构保持较好。
四、实验讨论
本研究明确了细菌浓度对藻酸盐基水凝胶的关键影响。初始浓度≤1×107CFU/mL时,水凝胶流变特性和可打印性(基于挤出)几乎不受影响。然而浓度>1×107CFU/mL会显著增强剪切稀化行为并降低打印分辨率,强调了精确控制细菌负载量对维持生物打印所需流变性能的重要性。在3D受限环境中,生物膜聚集体的生长受初始细菌浓度和水凝胶硬度协同调控,在更硬且具有特定应力松弛特性的水凝胶中,较低的初始接种浓度会形成更大的生物膜聚集体。这些发现为设计调控水凝胶-细菌相互作用的生物材料(用于组织工程、伤口愈合等生物医学应用)提供了重要见解,并为开发基于力学调控水凝胶的先进生物膜系统奠定了基础。
六、参考文献
Scutte A, Harrison K, Gregory T, Quashie D Jr, Ramakrishnan S, Ali J. Rheological Characterization and 3D Fabrication of Artificial Bacterial Biofilms. ACS Biomater Sci Eng. 2025 Jun 9;11(6):3455-3466. https://pubs.acs.org/doi/10.1021/acsbiomaterials.5c00223
(责任编辑:admin)
最新内容
热点内容


Stratasys 报告称公司2024
3D打印赋能模型与玩具创新
WASP推出可持续颗粒3D打印
英国联盟启动DEEP项目,开
Caracol收购Hans Weber增
3D打印鞋履新纪元
美国空军2860万美
美国军工企业强强
美国斥资450万美
GoEngineer通过收
3D食品打印:烹
